Date de début de publication du BOI : 30/07/1998
Identifiant juridique :

B.O.I. N° 140 du 30 JUILLET 1998


ANNEXE I






ANNEXE II






ANNEXE III




ANNEXE IV




ANNEXE V




ANNEXE VI




ANNEXE VII


Manipulations usuelles

I - Opérations simples destinées à assurer la conservation des marchandises d'importation en bonne condition pendant leur stockage

1. Ventilation, étalement, séchage, enlévement de poussières, simples opérations de nettoyage, réparations de l'emballage, réparations élémentaires de dommages survenus au cours du transport ou de l'entreposage dans la mesure où il s'agit d'opérations simples, application ou enlèvement du revêtement de protection pour le transport

2. Inventaire, échantillonnage et pesage des marchandises

3. Enlèvement des éléments endommagés ou contaminés

4. Conservation par irradiation ou adjonction d'agents de conservation

5. Traitement contre les parasites

6. Tout traitement par abaissement de la température, même si cela aboutit à un code de la nomenclature combinée différent à huit chiffres

II - Les opérations suivantes améliorant la présentation ou la qualité marchande des marchandises d'importation

1. Equeutage ou dénoyautage de fruits

2. Assemblage et montage des marchandises dans la mesure uniquement où il s'agit d'une opération de montage, sur une marchandise complète, de pièces accessoires qui ne jouent pas un rôle essentiel dans la fabrication du produit, même si cela aboutit à un code de la nomenclature combinée différent à huit chiffres pour des marchandises assemblées ou montées

3. Dessalage, nettoyage et crouponnage des peaux

4. Adjonction d'un ou plusieurs types différents de produits dans la mesure où cette adjonction est relativement faible et ne change pas la nature des marchandises originelles, même si cela aboutit à un code de la nomenclature combinée différent à huit chiffres

5. Dilution de fluides, même si cela aboutit à un code de la nomenclature combinée différent à huit chiffres

6. Mélange entre elles de marchandises de même sorte, de qualité différente, afin d'obtenir une qualité constante ou une qualité demandée par le client, sans changement de la nature des marchandises

7. Séparation de marchandises s'il s'agit uniquement d'opérations simples

III - Les opérations suivantes préparant les marchandises d'importation en vue de leur distribution et de leur revente

1. Triage, filtrage mécanique, classification et tamisage

2. Ajustage et réglage

3. Emballage, déballage, changement d'emballage, décantage et transvasement simple, même si cela aboutit à un code de la nomenclature combinée différent à huit chiffres

4. Apposition et modification de marques, scellés, étiquettes, porte-prix ou autre signe distinctif similaire ; ceci ne peut pas donner lieu à l'obtention d'une origine apparente différente de l'origine véritable

5. Essais, ajustage et mise en état de marche de machines, appareils et véhicules pour autant qu'il s'agisse d'opérations simples

6. Essais afin de vérifier la conformité avec les normes techniques européennes

7. Découpage et débitage de fruits secs ou de légumes

8. Traitement antirouille

9. Reconstitution des marchandises après le transport

10. Augmentation de la température afin de permettre aux marchandises d'être transportées

11. Repassage des textiles

12. Traitement électrostatique des textiles


ANNEXE VIII


4


5 6





ANNEXE IX




ANNEXE X





ANNEXE XI





ANNEXE XII




ANNEXE XIII







 

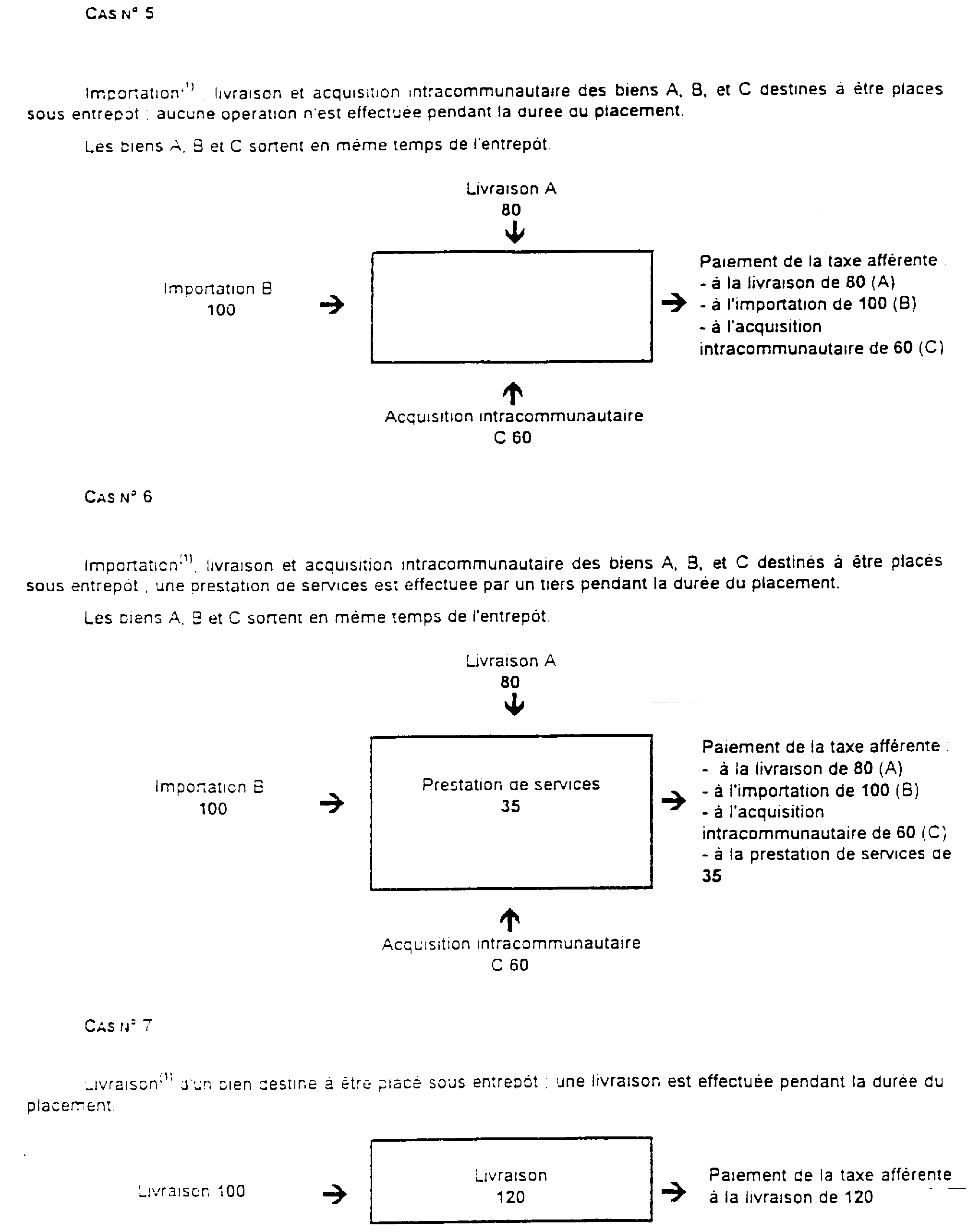
1   Même solution s'il s'agit d'une importation ou d'une acquisition intracommunautaire. En cas d'importation le bien a fait l'objet d'une mise en libre pratique avant le placement sous entrepôt

2   Le bien B a fait l'objet d'une mise en libre pratique avant placement sous entrepôt

3   Même solution s'il s'agit d'une importation ou d'une acquisition intracommunautaire. En cas d'importation, le bien a fait l'objet d'une mise en libre pratique avant le placement sous entrepôt

4   Même solution s'il s'agit d'une importation ou d'une acquisition intracommunautaire. En cas d'importation, le bien a fait l'objet d'une mise en libre pratique avant le placement sous entrepôt

5   Le bien B a fait l'objet d'une mise en libre pratique avant placement sous entrepôt

6   Même solution s'il s agit d'une importation ou d'une acquisition intracommunautaire. En cas d'importation, le bien a fait l'objet d'une mise en libre pratique avant le placement sous entrepôt.